HANGERS PRACTICE - Advanced

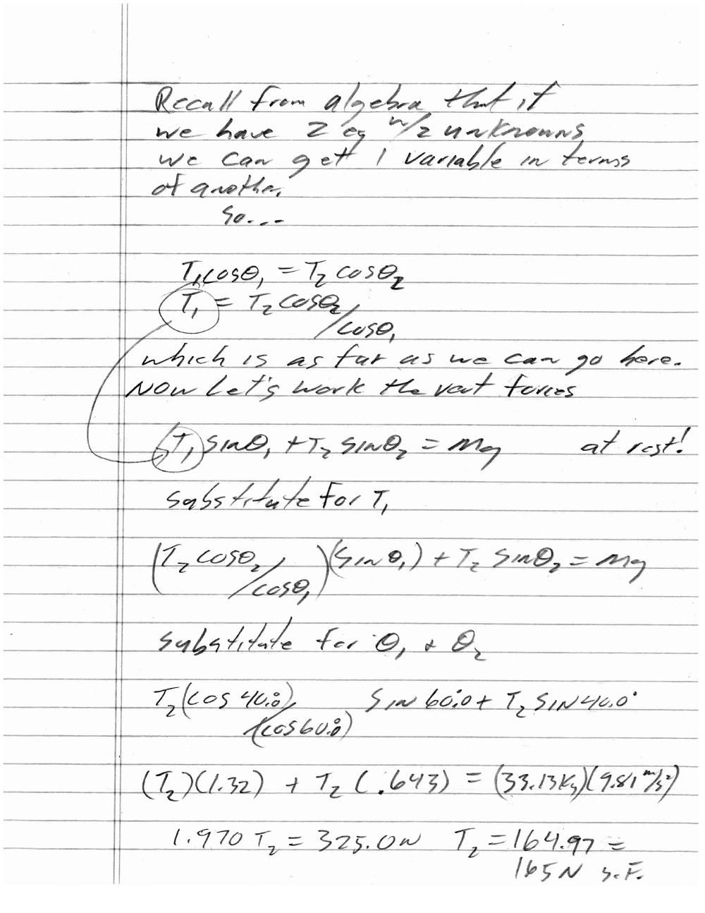
A bag of cement with a mass of 33.13 kg hangs at equilibrium from three massless wires as shown. Angle 1 is 60.0 degrees to the horizontal and angle 2 is 40.0 degrees with the horizontal. Find the tension in wires T1, T2 and T3.

f

 

This Problem is a TOUGH Hanginging Problem

sss